​自噬做生信还能发到8分+?非肿瘤疾病预后模型构建就可以!直接套用肿瘤最常规生信分析思路,效果太绝了!

点击蓝字 / 关注我们

跨入2023年了,小伙伴们还在观望要不要上车生信吗?


近两年是生信爆火的两年,也是各种生信热点疯狂爆出的两年,如果你赶上了新热点的红利期,那要恭喜你,眼疾手快就能以最小投入发个高分文章!


但是没赶上红利期的朋友也不要直接放弃,不妨回头看看,从一些经典热点中找找新的突破口,如果能达到让审稿人眼前一亮的效果,那文章接收、见刊不就直接水到渠成了(ps:就是在经典热点中找思路突破口属于高级操作,不像直接追赶热点那么容易,需要阅读大量文献去找思路创新点~ ~ 不过小伙伴们不用担心自己找不到突破口,只要盯住小云公众号就ok啦,小云负责找新热点和思路突破口,朋友们要做的就是看准机会及时上车!)

小云这次发现的点是经典热点“自噬”,提到自噬,可能朋友们第一想法是“自噬都在做实验了,做生信发不了高分吧?”


其实不止朋友们这么想,小云在看到这篇文章前也是这个想法,已经把自噬归为主要做实验或干湿结合类方向了,但这篇文章又给我们带来了惊喜···


利用自噬相关基因在非肿瘤疾病(特发性纤维化IPF)中构建预后模型,基本上就是将肿瘤中最常规的预后模型构建思路套用在IPF中就发到了8分+!在一众非肿瘤诊断模型和比较新的疾病分型思路中,预后模型思路的效果简直惊人!


那么,这就是我们要找的突破口了——在非肿瘤疾病中构建预后模型(需要有疾病预后信息),在IPF中换个热点方向(比如线粒体自噬、内质网应激···)或者换个非肿瘤疾病就可以直接复现啦,行动起来!


下面小云就给小伙伴们展示一下这篇8分+的文章

文章题目:特发性肺纤维化自噬相关基因预后模型的建立和验证

发表杂志:Front. Immunol.

影响因子:8.786

发表时间:2022年12月

公众号回复“123”获取原文


研究背景


特发性肺纤维化(IPF)是一种慢性进行性间质性肺疾病。许多研究表明,自噬可能与IPF的疾病进展和预后有关。然而,自噬和IPF预后之间相关性的强有力证据仍然缺乏。因此,构建具有自噬相关基因的IPF预后模型至关重要。



数据来源




研究思路


从人类自噬数据库网站(http://www.autophagy.lu/index.html) 中收集232个自噬相关基因(AAGs)。在训练集GSE28042中利用单变量Cox分析和LASSO回归分析构建自噬相关的预后模型,并在GSE27957中进行模型验证。进行GO和KEGG富集分析来研究这些自噬相关基因的功能。CIBERSORT算法用于计算高危评分组和低危评分组患者之间的免疫细胞浸润。在临床样本和细胞系中进行qRT-PCR来验证自噬相关风险模型中五个基因的mRNA表达。



主要结果


1. 自噬相关基因的差异表达分析

首先在GSE28042中确定了5368个差异表达基因(图1C),并且在232个自噬相关基因(AAGs)的基础上鉴定了208个AAGs的表达序列。将差异基因与208个AAGs取交集,共获得71个差异表达的自噬相关基因(图1D)。

图1 IPF中差异表达的自噬相关基因


2. IPF自噬相关基因预后风险模型的建立与验证

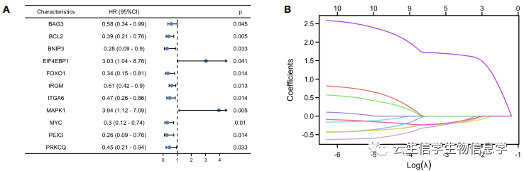
使用单变量Cox分析从71个自噬相关的差异基因中鉴定出11个与IPF预后相关的基因(图2A),再用LASSO回归分析筛选5个特征基因构建预后模型(图2B, C)。在训练队列和验证集中进行Kaplan-Meier生存分析并利用ROC曲线评估预测性能(图2C, 图3)。最后构建了一个基于年龄和五个筛选的AAGs的列线图,并利用校准曲线评估其准确性(图4)。

图2 预后模型的建立和生存分析


图3 预后模型的验证


图4列线图的构建与评价


3. IPF自噬相关预后模型与免疫细胞浸润的关系

使用CIBERSORT算法评估高风险评分组和低风险评分组之间22种免疫细胞浸润差异(图5A),并分析自噬相关基因与特异性免疫细胞之间的相关性(图5G-P)。

图5 免疫浸润分析


4. 自噬相关预后模型的功能富集分析

为了揭示与自噬相关预后模型相关的潜在生物学功能和途径,使用GO富集和KEGG途径分析分析了高风险和低风险评分组之间的差异基因(图6A, B)。

图6 功能富集分析


5. 在临床样本和细胞模型中验证差异表达的自噬相关基因

使用临床PBMC样本进一步通过qRT-PCR验证五种自噬相关基因的表达(图7A),利用 MRC-5细胞建立IPF模型,通过WB验证五种自噬相关基因的表达(图7B)。

图7 关键基因的表达验证



文章小结


这个文章利用自噬相关基因在IPF中建立预后模型,并在临床样本和细胞模型中进行表达验证。基于自噬基因的预后模型构建放在肿瘤中相当常规,属于最简单基础的分析思路,但是挪到非肿瘤疾病领域效果还是非常哇塞的。因为预后模型在非肿瘤疾病中做的非常少,更多是做诊断模型,所以如果你关注的非肿瘤疾病有预后信息,用这个思路创新性绝对杠杠的! 


小云有话说

小云公众号持续为大家带来最新生信思路,更多创新性分析思路如下。想复现这种思路或者定制更多创新性思路欢迎直接call小云,云生信团队竭诚为您的科研助力!当然还有我们的精品培训课程《线粒体和细胞死亡课题思路介绍及热点方向分析专题会议》,有意向的小伙伴欢迎咨询小云哦!


扫码咨询小云

更多创新性分析思路推荐:

1. 8分+ Frontiers文章教你如何借临床表型“放疗敏感性”的东风玩转自噬的生信分析思路!老树也能开新花~还能举一反三!

2. 想发高分只分析铜死亡还不够?细胞死亡大军来袭!基于12种细胞死亡模式基因构建预后模型,13分+生信文章轻松收入囊中

3. 别再只盯着铜死亡了!超赞的“铜代谢”8分+生信思路来袭,附带“铜代谢”基因集,换个癌种/非肿瘤疾病即可轻松复现!!

4. “细胞间通讯”生信新切入点—“囊泡介导的转运基因”,干湿结合不蹭热点就发8分+,附带基因集,直接拿去复现!


合集

推荐


  双疾病  

  单基因 

 铁死亡 

肿瘤代谢

  线粒体自噬

铜死亡

免疫浸润

肿瘤微环境

  代码 

服务项目


生信热点文献复现

临床预后模型设计

生信&实验方案设计

数据库构建

共享1T生信服务器

35篇原创代码合集

示例报告


单基因在肿瘤中的生信分析

疾病药物代谢相关基因与肿瘤免疫、预后关系探讨

糖尿病周围神经病变铁死亡相关的基因分析

我知道你在看

发表回复