解密疾病预测的神奇之力!用R包randomForest成为“预测大师”
点击蓝字 关注我们
大家好,我是小花,一个对生物信息学充满热情的小伙伴。今天,我要和大家分享一项令人激动的技术——使用R语言中的神奇包randomForest进行疾病预测。通过这个强大的工具,我们可以利用数据的力量成为真正的“预测大师”。还等什么呢?快来探索这个神奇的领域吧!
疾病预测一直是医学领域的重大挑战,而现代生物信息学技术为我们提供了突破的机会。randomForest包的出现为我们带来了一种强大的工具,可以帮助我们预测疾病的发生和发展趋势。
randomForest是一种集成学习算法,基于决策树的思想。这个算法的奥妙之处在于,它通过组合多个决策树的预测结果来提高预测的准确性。就像森林中的树木一样,每棵决策树都有自己的特点,而集成后的结果却比单个树更可靠。
在R中,randomForest包提供了多个函数用于构建和分析随机森林模型。下面是randomForest包中常用的函数及其参数的解释:
让我们来看一个使用randomForest包进行糖尿病预测的简单示例:
代码具体包括:
Step1 导入数据集以及数据预处理
# 这里的"inputdata.txt"是自行准备的本地文件,小花给大家附在最后。# 1.导入数据集以及数据预处理# 安装和加载randomForest包#install.packages("randomForest")library(randomForest)# 导入数据集data <- read.table(file = "D:/wanglab/life/ziyuan/20230628/inputdata.txt",header = T) # 替换为实际数据集文件的路径data$diabetes <- as.factor(data$diabetes)head(data)
输入数据展示

# 划分数据集为训练集和测试集set.seed(123) # 设置随机种子,保证结果可复现indices <- sample(1:nrow(data), nrow(data)*0.8) # 80%的数据用于训练,20%的数据用于测试trainingset <- data[indices, ]testingset <- data[-indices, ]
Step2构建随机森林模型
# 2.创建深度学习模型# 2.构建随机森林模型rf_model <- randomForest(diabetes ~ ., data = trainingset, ntree = 500,mtry=2)# 查看模型结果print(rf_model)
查看模型结果截图

# 变量重要性图varImpPlot(rf_model)rf_model$importance
变量重要性图


randomForest模型的结果将显示出重要的变量、每个变量的重要性指标以及预测准确性的度量。这些信息有助于我们理解哪些因素对于疾病的预测起着重要作用。
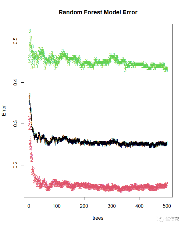
# 绘制误差图plot(rf_model, main = "Random Forest Model Error", type = "o")
误差图

在误差图中,横轴表示随机森林中的每个决策树,纵轴表示误差或损失度量。每个点代表一个决策树模型的误差或损失值,而整体的线条或曲线表示所有决策树模型的平均误差或损失。误差图中的不同颜色线条代表了不同样本集生成的模型的预测误差。这些不同颜色的线条表示随机森林中的不同决策树模型或子模型的平均误差值。不同颜色的线条趋于平行且相互靠近,表示随机森林中的子模型具有相似的误差水平,模型的预测结果比较稳定。
# 绘制单棵决策树library(rpart.plot)plot(rf_model$forest[[1]], uniform = TRUE, main = "Decision Tree")
单棵决策树

Step3 绘制AUC曲线评估模型
# 3.绘制AUC曲线评估模型#对测试集进行预测pre_ran <- predict(rf_model,newdata=testingset)#将真实值和预测值整合到一起obs_p_ran = data.frame(prob=pre_ran,obs=testingset$diabetes)#输出混淆矩阵table(testingset$diabetes,pre_ran,dnn=c("真实值","预测值"))#绘制ROC曲线ran_roc <- roc(testingset$diabetes,as.numeric(pre_ran)plot(ran_roc, print.auc=TRUE, auc.polygon=TRUE, grid=c(0.1, 0.2),grid.col=c("green", "red"), max.auc.polygon=TRUE,auc.polygon.col="skyblue", print.thres=TRUE,main='随机森林模型ROC曲线,mtry=2,ntree=500')
AUC曲线图

现在,我想告诉大家一个有趣的事实:“使用randomForest包进行疾病预测,就像在森林中寻找秘密路径,而这个路径将带领我们揭开疾病的面纱。”是不是让你心动不已呢?
最后,我想强调一下使用公众号平台进行数据分析的便利性。云生信平台(http://www.biocloudservice.com/home.html)为我们提供了一个简单、方便、快速的方式来进行数据分析和分享结果。你只需轻松点击,即可掌握数据的奥秘,成为疾病预测的高手!
让我们一起利用randomForest包,借助公众号平台的力量,用数据驱动的方法来揭示疾病的秘密,为医学研究贡献一份力量吧!
欢迎使用:云生信 – 学生物信息学 (biocloudservice.com)
如果想用服务器可以联系微信:18502195490(快来联系我们使用吧!)

(点击阅读原文跳转)
点一下阅读原文了解更多资讯

